UKURAN GEJALA PUSAT

Ukuran perhatian pusat adalah ukuran yang digunakan untuk mengumpulkan data tentang sampel atau jumlah yang disajikan dalam tabel atau diagram.

Ukuran Gejala Pusat adalah suatu ukuran yang digunakan untuk mengetahui kumpulan data mengenai sampel atau populasi yang disajikan dalam tabel dan diagram, yang dapat mewakili sampel atau populasi. Ada beberapa macam ukuran tendensi sentral,yaitu rata-rata (mean), median, modus.

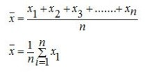
Mean adalah teknik penjelasan kelompok yang didasarkan atas nilai rata-rata dari kelompok tersebut. Rata-Rata (mean) ini didapat dengan menjumlahkan data seluruh individu dalam kelompok itu, kemudian dibagi dengan jumlah individu yang ada pada kelompok tersebut.

a)Rumus Mean dari Data Tunggal

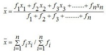
b)    Rumus Mean Untuk Data yang Disajikan Dalam Distribusi Frekuensi.

Dengan : fixi = frekuensi untuk nilai xi yang bersesuaian xi = data ke-i

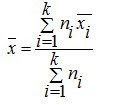
c)    Rumus Mean Gabungan gabungan

 

2.MEDIAN
Median adalah nilai tengah-tengah dari data yang tersusun secara terurut.

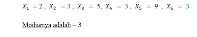
3.MODUS
Modus adalah nilai yang paling sering muncul.

4.KUARTIL
Kuartil adalah rangkaian data yang membagi suatu distribusi menjadi 4 bagian.

5.DESIL
Desil adalah rangkaian data yang membagi suatu distribusi menjadi 10 bagian.

6.PERSENTIL
Persentil adalah rangkaian data yang membagi suatu distribusi menjadi 100 bagian.

7.Rata-rata hitung / Rata-rata

Dalam kegiatan penelitian, rata-rata (rata-rata) memiliki kedudukan yang penting dibandingkan ukuran rata-rata pusat lainnya. Hampir setiap kegiatan penelitian ilmiah selalu menggunakan rata-rata (rata-rata).

8.Rata-Rata Harmonis
perbandingan antara banyaknya data dengan jumlah kebalikan semua data.

9.Rata-Rata Tertimbang
rata-rata yang dihitung dari tiap-tiap nilai variabel.

Distribusi frekuensi adalah yang merupakan penyusunan data ke dalam kelas-kelas tertentu dimana setiap individu/item hanya termasuk kedalam salah satu kelas tertentu saja. (Pengelompokkan data berdasarkan kemiripan ciri).
Tujuannya : untuk mengatur data mentah (belum dikelompokkan) ke dalambentuk yang rapi tanpa mengurangiinti informasi yang ada.
Istilah dalam Distibusi Frekuensi
1. Class (Kelas) yaitu penggolongan data yang dibatasi dengan nilai terendah dan nilai tertinggi yang masing-masing dinamakan batas kelas.
2. Batas Kelas (Class Limit) adalah nilai batas dari pada tiap kelas dalam sebuah distribusi, terbagi menjadi States class limit dan Class Bounderies (Tepi kelas).
a. Stated Class Limit adalah batas-batas kelas yang tertulis dalam distribusi frekuensi, terdiri dari Lower Class Limit (Batas bawah kelas) dan UpperClass Limit (Batas atas kelas).
b. Class Bounderies (Tepi kelas)adalah batas kelas yang sebenarnya, terdiri dari Lower class boundary (batas bawah kelas yang sebenarnya) dan upper class boundary (batas atas kelas yang sebenarnya).
3. Tepi kelas disebut juga batas nyata kelas, yaitu batas kelas yang memiliki lubang untuk angka tertentu antara kelas yang satu dengan yang lain. Terdapat dua tepi kelas, yaitu tepi bawah kelas dan tepi atas kelas.
4. Titik tengah kelas atau tanda kelas angka atau nilai data yang tepat terletak di tengah suatu kelas. Titik tengah merupakan nilai yang mewakili kelasnya dalam data.
5. Interval kelas adalah selang yang memisahkan kelas yang satu dengan yang lain
6. Panjang interval atau luas kelas adalah jarak antara tepi atas kelas dan tepi bawah kelas
7. Frekuensi kelas adalah banyaknya data yang masuk kedalam kelas tertentu dari data acak
Jenis Distibusi Frekuensi
1. Distribusi Frekuensi Kumulatif
adalah suatu daftar yang memuat frekuensi-frekuensi kumulatif, jika ingin mengetahui banyaknya observasi yang ada diatas atau dibawah suatu nilai tertentu.
2. Distribusi Frekuensi Relatif
Perbandingan dari pada frekuensi masing-masing kelas dan jumlah frekuensi seluruhnya dan dinyatakan dalam persen.
3. Distribusi Frekuensi Kumulatif Relatif
Adalah suatu total frekuensi dengan menggunakan presentasi.

PENYAJIAN DATA

Penyajian data adalah pengaturan, penyusunan dan pengambaran data yang telah dikumpulkan baik dari populasi maupun dari sampel, untuk keperluan pembuatan laporan atau untuk dianalisis agar mudah dipahami. Terdapat du acara untuk menyajikan data, yaitu dengan cara tabel dan dengan cara grafik.

Tabel Baris Kolom

Tabel baris kolom dipakai untuk menyajikan data yang sederhana, yang biasanya hanya terdiri satu ariabel saja.

Tabel Kontigensi

Data yang terdiri dari dua ariabel (factor), dapat dibuat tabel kontingensi. Bila factor pertama terdiri a kategori dan factor kedua terdiri dari b kategori, maka tabel tersebut tabel kontingensi a×b, dengan a menyatakan banyaknya baris dan b menyatakan banyaknya kolom.

Diagram Batang-Daun

Diagram batang daun dipakai dalam bentuk urutan.
Contoh :
Berat badan (dalam kg) dari 40 orang adalah sebagai berikut:
62 78 70 58 65 54 69 71 67 74
64 65 59 68 70 66 80 54 62 83
77 51 72 79 66 83 63 67 61 71
64 59 76 67 59 64 70 73 67 56
Pada diagram batang-daun, angka puluhan merupakan batangnya, angka satuan yang belum terurut merupakan daun kiri, sedangkan angka satuan yang terurutkan merupakan daun kanan. Diagram batang-daun dari data tersebut

Diagram Garis (Grafik Garis)

Diagram garis (grafik garis) ditunjukkan oleh pasangan bilangan yang disajikan oleh titik-titik pada bilangan. Titik-titik yang berurutan dihubungkan dengan menggunakan ruas garis. Biasanya data yang disajikan dalam diagram garis adalah data yang berkesinambungan, misalnya keadaan temperature tiap jam, jumlah mahasiswa yang diterima di PT, banyaknya produksi, dan banyaknya penjualan suatu produk.

Diagram Batang

Diagram batang menyajikan data dengan batang-batang tegak (atau mendatar) yang sama lebarnya. Antara batang yang satu dengan yang lainnya tidak saling berimpitan. Diagram batang dapat berdimensi dua dan dapat berdimensi tiga. Data untuk variable berskala antribut (ordinal atau nominal) sangat tepat disajikan dengan diagram batang. Data tahunanpun dapat disajikan dengan diagram batang asalkan tahunannya tidak terlalu banyak.

PENGERTIAN STATISTIKA

Pengertian Statistik adalah suatu kumpulan data yang berbentuk angka dan disusun dalam bentuk diagram dan/ atau tabel dimana isinya menjelaskan mengenai masalah tertentu.

Arti statistik adalah sekumpulan metode dan aturan mengenai pengumpulan, analisis, pengolahan, dan penafsiran data dari angka-angka yang menjelaskan data atau hasil pengamatan. Secara etimologis kata “statistik” berasal dari bahasa Latin, yaitu “status” yang artinya negara atau yang berkaitan dengan ketatanegaraan.

Umumnya statistik banyak digunakan dalam suatu penelitian di berbagai bidang, misalnya ekonomi, bisnis, manufaktur, pemasaran, dan lain-lain. Dengan adanya statistik maka akan didapatkan suatu kesimpulan dan memudahkan proses pengambilan keputusan.

Tujuan Statistik

Setidaknya ada lima tujuan utama dari statistik. Adapun tujuan statistik adalah sebagai berikut;

Untuk membuat deskripsi atau menjelaskan data tentang populasi yang diselidiki.
Untuk membantu membuat estimasi mengenai nilai yang tidak diketahui berdasarkan data yang dianalisis.
Untuk membuat estimasi mengenai akibat suatu hipotesis yang diterima. Estimasi tersebut nantinya dipakai sebagai dasar pengembilan keputusan.
Untuk mengurangi jumlah populasi yang luas pada ukuran yang lebih kecil agar lebih mudah dipahami.

Rancang situs seperti ini dengan WordPress.com
Mulai